0. Our Team [팀 소개]
•
팀 이름 및 멤버 간략 소개
김주아 (ESFP)
•
중요한건 꺾이지 않는 마음
민경훈 (ENTP)
•
햄버거 맛있어요, 2개 먹었어요.
강슬기(ENFJ)
•
Life is for living
이덕인 (ISFP)
•
덕행내복-덕을 배풀어야 복이 온다
고의석 (ENTJ)
•
We Always have enough time to do things right.
•
(우리 팀, 팀워크 자랑)
자랑
•
다양한 지역의 사람들이 모여있다.
•
상상도 못할 현직자들이 있다.
1. Dataset [데이터셋]
SuperStore의 매출 데이터
해당 데이터 셋은 월마트 오프라인매장의 구매데이터 셋으로 소비자(고객명, 위치), 제품(이름. 재품분류, 수량), 매출(매출. 할인률, 이익) 등으로 구성되어 있습니다. ,
데이터셋 설명
2. Business Objective [데이터 분석의 목적; 핵심 질문]
•
데이터를 통해 알고자 하는 것이 무엇인지? 분석을 하는 이유와 목표를 기술해 주세요.
•
데이터셋이 생소하다면, 간단한 EDA 과정을 통해 데이터에 대한 이해를 높인 후 분석 목표를 정해도 좋겠습니다.
예) 높은 의료 비용과 관련된 피보험인의 특성을 이해하고, 보험 청구비용 최적화를 위한 타겟 세그먼트 발굴.
대표님 말씀
[가설]
매장 1위 but 이익률은 soso…
>> 이익률을 개선하는 것에 초점을 맞추기
그러면 이익률을 어떤 방식으로 개선할 수 있을까?
1.
제품 (2명)
: 제품 카테고리별 고객 주문량
2.
소비자 (2명)
3.
할인율 (1명)
하위 그룹
3. Key Findings [데이터에서 발견한 주요 사실들]
현황 분석
연도 별로 매출 / 수익 모두 증가하고 있으나 수익률은 12% 선으로 개선이 필요해보이는 상황
제품별
1. 총 매출,수량,이익
1.1 총 매출
•
가구 총 매출 : $604,420
•
사무용품 총 매출 : $567,330
•
전자용품 총 매출 : $713,590
1.2 총 수량
•
가구 총 수량 : 6,650건
•
사무용품 총 수량 : 18,600건
•
전자용품 총 수량 : 5,730건
1.3 이익
•
가구 총 이익 : $4,830
•
사무용품 총 이익: $86,190
•
전자용품 총 이익 : $114,480
요약 :: 제품대분류별 건당 이익액
•
가구 : $4,830/6,650개 = $0.73
•
사무용품 : $86,190/18,600건 = $4.63
•
전자제품 : $114,480/5,730건 = $19.98
⇒ 가구의 건당 이익액이 $0.73으로 가장 낮다.
2. 계절별
•
월별 이익률 확인
: 월별 이익률 확인 결과, 1월,2월에 해당하는 이익이 가장 낮음을 확인했습니다.
3. 1,2월 매출,수량,이익
4. 1,2월 가구 소분류별 이익 확률
Q. 1~2월의 가구 항목들을 잠시 판매 중단 해야할까요?
A. 네.
1~2월에 보다 높은 수익률을 위해 이익률이 마이너스인 책장과 테이블 상품은 잠시 판매를 중지하는 것을 제안합니다. 월별 주기로 이익을 살펴보았을 때 유독 1~2월이 낮은 것을 확인하였고, 1~2월을 필터로 지정하여 제품 대분류 결과를 확인해본 결과, 1월의 가구 이익률이 마이너스라는 것을 볼 수 있었습니다.
결론
회사의 이익적인 측면에서 1-2월에 해당 카테고리 항목들을 잠시 판매 중지처리 하는 것을 제안
(* 테이블 자체가 일반적인 항목 → 상품적 요인보다는 이벤트나, 프로모션 요인도 크게 작용했을 것!
제품 판매중지 이전에 프로모션적인 데이터도 한번 확인해볼 필요성이 있어보인다!)
고객 별
1. 고객 분류 별
1.1 총 매출
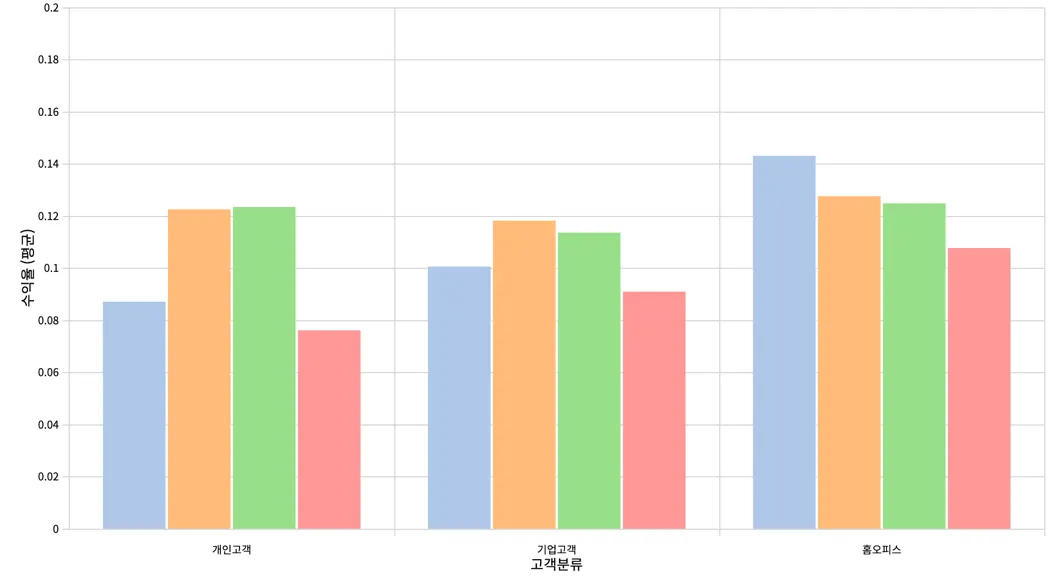
고객 분류별로 보았을 때 년도가 지날 수록 개인고객의 매출 증가가 큰 것을 보실 수 있습니다.
실제로 개인고객의 수익율이 가장 떨어집니다.
고객분류 별 수익율은 홈오피스와 기업고객은 년도 별로 하락세, 개인고객은 상승하다가 하락하였습니다. 이에 어떤 이유로 개인고객의 수익율이 떨어지는지 살펴볼 필요가 있습니다.
할인율 분포 측면에서는 큰 차이를 보이지 않았습니다.
다만 주문 개수가 개인 고객에서 훨씬 많게 나타나 배송비로 인한 이익 차이일 수 있어보입니다.
실제로 개인고객에서 1등급, 표준등급 배송 비율이 떨어져 2등급/당일배송 비율을 늘려야한다는 결론이 나올 수도 있으나 제품 분류 차이의 특성일 수도 있습니다.
개인고객의 소분류 별 연도 별 매출 추이를 보았을 때 하기와 같은데, 빨간 글씨의 제품은 평균 수익율이 (-)로 나타나 가정용/바인더/책장/테이블은 개인 고객에게는 판매 제외를 검토해봐도 좋겠다.
증가 추이 소분류: 가정용, 기타가구, 라벨, 바인더, 복사기, 아트, 악세서리, 의자, 잠금장치, 전화기, 종이, 책장, 테이블
감소 추이 소분류: 기계, 봉투, 소모품, 저장고,
이익을 개선해야하는 지역
개선을해야 하는 제품군
할인율
Q. 할인율이 높을수록 매출이 높은가요?
A. 아니요.
할인율 bin 으로 봤을 때 7번째 구간(~0.56%)까지는 건당 평균 매출이 높아지지만, 8번째 구간 (0.56%~)을 넘어가면 건당 평균 매출이 떨어집니다. [그림1]
I. 8번째 구간에 해당하는 제품들은 할인율을 오히려 낮춰보면 매출액 감소 없이 이익 개선이 가능할 것 같다.
[그림1] 할인율 bin별 매출
Q. 어떤 제품이 할인율은 높은데 매출 기여가 낮은가요?
A. (8번째 구간 제품 중 소분류 기준) 가정용 전자기기, 기타가구, 바인더, 책장은 할인율을 오히려 낮춰도 매출에는 큰 영향이 없을 것으로 기대됩니다. 전자제품은 할인율 조정 시 매출이 줄어들 수 있어 유의해야 합니다. [그림2], [그림3]
I. 바인더는 할인율이 높은데 구매 건수가 많아서 체리피커 제품일 수 있다. (바인더 구매 고객이 다른 제품을 많이 구매했는지 찾아보자)
책장은 브랜드 선호도가 떨어지는 제품일 수 있어서 제품 소싱을 더해봐야할 것 같다. [그림4]
[그림2] 할인율 높은 구간별 매출 (선택보기)
[그림3] 그림2 기준 소분류 변경 후 매출
[그림4] 그림3 기준 하위그룹 추가 후 매출 총합 보기
4. Insight [결론]
•
고객 분류 별로 보았을 때 개인고객에서 수익률이 떨어지는 반면, 매출은 개인고객에서 늘어나는 추세
•
할인율에서는 큰 차이를 못 느꼈으며, 배송 방식에 대해서는 2등급/당일배송 비율을 늘려야한다는 추정만 있을 뿐, 배송 비용에 대한 데이터가 없어 정확한 결론은 짓기 어려웠음
•
단, 상품군에서 수익률이 (-)인 가정용/바인더/책장/테이블이 개인 고객에서 매출이 증가하는 추세로 나타나, 판매 중단이 시급해 보임


























